| 平成20年 7月21日(月):初稿 |
|
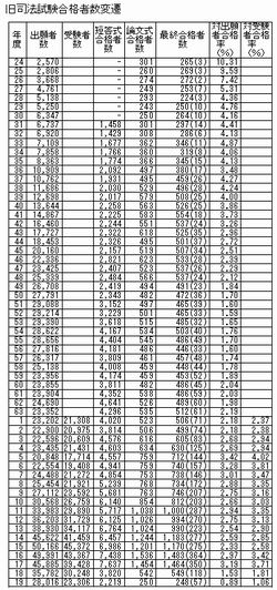
○「司法試験合格者増員、日弁連がペースダウンを緊急提言」との後記ニュースに接して私なりのコメントを残そうと思って、戦後昭和24年から平成19年までの59年間の旧司法試験合格者数変遷を法務省のサイトから一覧しようと思って探すも、昭和期と平成期に分けて整理してあり、59年間通したデータはありませんでした。 ○そこで昭和期と平成期のデータを桐に取り組んでみました。このやり方は「他のファイルデータの読み込み」に詳しく説明した通りです。桐画面では以下の通りになり、59年間を一覧できません。 ![]() ○何とか59年間の変遷を桐で一覧できる方法はないものかと探りましたが、フォームの二段組み表示の方法が判らず-おそらく出来ない-、結局、以下の一覧表印刷による一覧表示しか思いつきませんでした。 ○その他桐を使って簡単に一覧できる表示を作る方法としては、この一覧表印刷ウインドウにある「HTML(H)」をクリックすることで瞬時にHTMLファイル化ものがあります。上記一覧表印刷をHTMLファイル化すると以下のような表示になります。 ![]() テーブルのタグは以下の通りですが、自動的に作られて、このFONT SIZEやWIDTHの修正は桐の中では出来ないのが難点です。 <FONT SIZE= "+1">旧司法試験合格者数変遷</FONT> <TABLE ALIGN="left" BORDER="1" CELLSPACING="1" CELLPADDING="4" WIDTH="100%" SUMMARY="旧司法試験合格者数変遷.tbl"> <TR ALIGN="center" VALIGN="middle"> <TH WIDTH="7%">年度</TH> ************************************** 司法試験合格者増員、日弁連がペースダウンを緊急提言 7月18日19時28分配信 読売新聞 日本弁護士連合会は18日、理事会を開き、司法試験の合格者数を2010年ごろまでに年間3000人に増やす政府目標について、「法曹の質を低下させることになりかねず、当面は法曹人口増員のペースダウンが必要だ」として、増員の時期を遅らせるよう求める緊急提言をまとめた。 宮崎誠会長は記者会見し、「3000人という人数目標の見直しは求めていない。増員をペースダウンし、その間に、法曹の質の維持に必要な方策を見いだそうとするものだ」と説明した。 これに対し、町村官房長官は同日の記者会見で「司法制度改革に携わってきた立場をかなぐり捨てて急に(見直しを)言い出すのは、正直言って見識を疑う」と批判した。 司法制度改革では、過疎地での弁護士不足や、裁判員制度などの新たな弁護士需要に対応するため、司法試験合格者を従来の年間1000人程度から3000人にまで増員する政府目標が閣議決定された。 しかし各地の弁護士会からは、弁護士間の競争激化などを懸念する声が上がっていた。 提言では「数値目標だけを追求すれば、法的な基本知識が不十分で、実務能力に不安がある法曹者を出現させかねない」と懸念を示している。 最終更新:7月18日19時28分 以上:1,438文字
|
