| 平成30年 1月13日(土):初稿 |
|
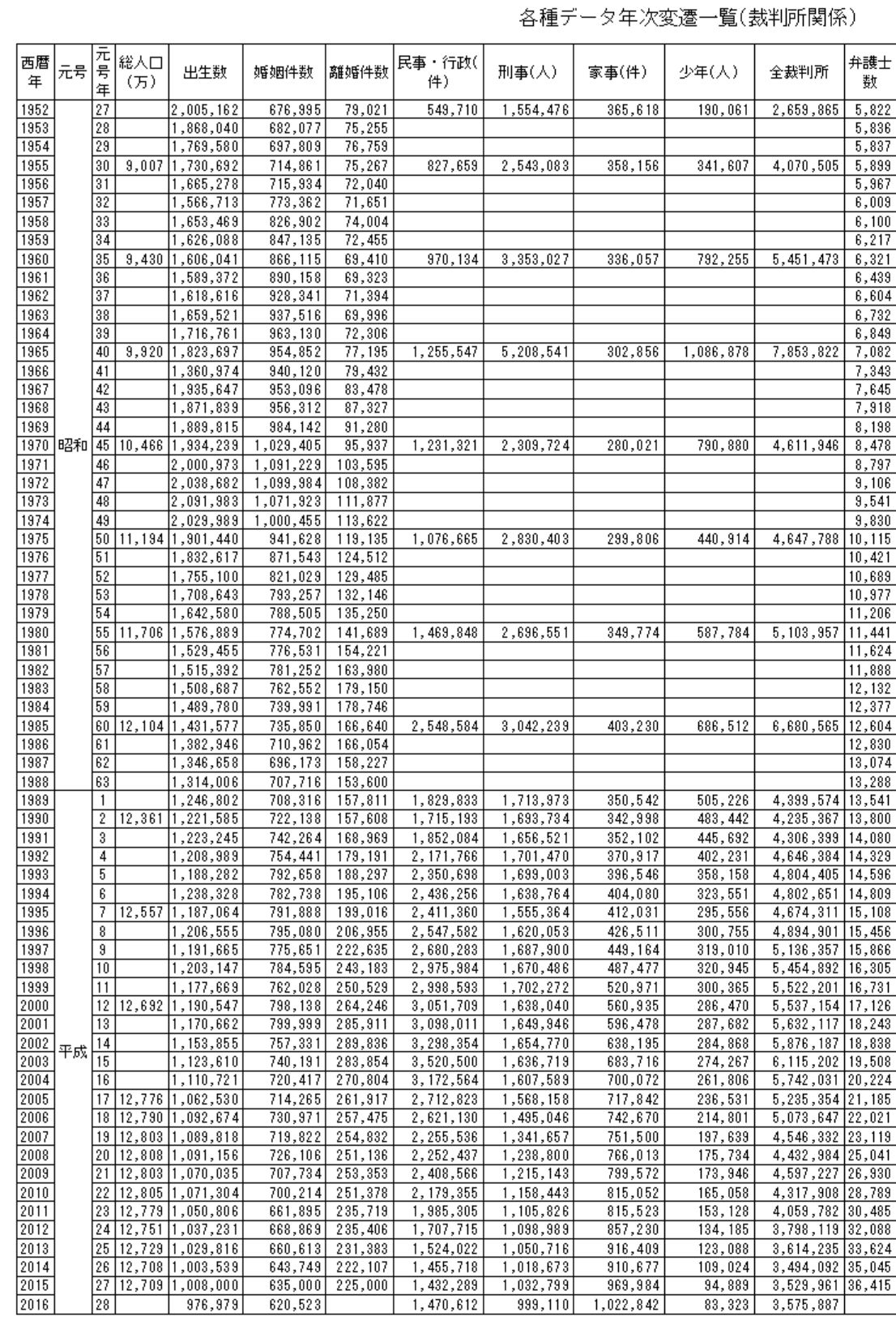
○「ネットで長時間かけて調べた各種数値データ紹介5」の続きです。 裁判所HPの「裁判所データブック2017」の「33頁から43頁まで(PDF:2.86MB)」に「第2部 事件の統計」として昭和27年から平成28年までの全裁判所の新受全事件数データが掲載されています。これをテキストコピーして、全裁判所.tblとして桐ファイル化し、これを各種統計データ変遷一覧.tbxに項目を追加し、併合処理によって取り込みました。結構、時間がかかりました。 ○これらのデータによると、私が弁護士になって6年目の昭和60年には民事事件数約255万件、刑事被告人数約304万人、裁判所全事件数約668万件でいずれも昭和27年から平成28年までの間では最高件数だったところ、弁護士数は僅か1万2604人でした。ところが、平成27年は、民事事件数約143万件、刑事被告人数約103万人、裁判所全事件数約353万件と半数近くに激減しているところ、弁護士数は3万6415人と2万人以上増えています。 ○よく見ると刑事被告人数は昭和40年約521万人でおそらく戦後最大人数でしたが、平成28年には100万人を切って99万9110人となって5分の1以下です。昭和40年の警察官数と平成28年の警察官数はどうなっているのでしょうか。もし同じ人数なら、随分と暇になっているはずですが(^^)。昭和40年頃の弁護士(7082人)の国選担当数は、平成28年(弁護士数3万7680人)現在の5倍以上ですから、大変だったはずです。 ○これらの数字を見ると昭和60年代、平成15年当たりまでは、弁護士数も2万人には到らず、平成29年の4万人近い人数の半分以下で少ないところ、全裁判所事件数は600万件近くあり、弁護士殿様時代だったと思われます。刑事被告人数は、大激減中ですが、刑事事件で稼いでいる弁護士が増えているようにも感じるのが不思議なところです。おそらく私選刑事事件が増えているのでしょう。 以下、桐ファイル画像から紹介します。 ![]() 桐レポート画面です。 ![]() 以上:845文字
|
